Sprunglinks

Bildschirmbreite - Übersicht und Umrechnung Bildschirmmasse

Die Grösse eines Bildschirms wird üblicherweise durch die Bildschirmdiagonale in Zoll definiert. Diese Einheit ist zwar für den Vergleich verschiedener Geräte zweckdienlich (solange alle Geräte das gleiche Seitenverhältnis aufweisen), hilft aber wenig für eine konkrete Vorstellung bei der Wahl der richtigen Bildschirmgösse. Hier interessiert uns in der Regel die effektive Bildschirmbreite und Bildschirmhöhe im metrischen Mass.

=> Bildschirme, passende Ständer und weiteres Zubehör mieten in unserem Online-Mietkatalog.

Übliche Bildschirmbreiten im Format 16:9 (Tabelle)

22"  (Diagonale in Zoll): Breite:  49cm / Höhe:  27cm

24"  (Diagonale in Zoll): Breite:  53cm / Höhe:  30cm

32"  (Diagonale in Zoll): Breite:  71cm / Höhe:  40cm

40"  (Diagonale in Zoll): Breite:  89cm / Höhe:  50cm

42"  (Diagonale in Zoll): Breite:  93cm / Höhe:  52cm

46"  (Diagonale in Zoll): Breite: 102cm / Höhe:  57cm

55"  (Diagonale in Zoll): Breite: 122cm / Höhe:  68cm

60"  (Diagonale in Zoll): Breite: 133cm / Höhe:  75cm

65"  (Diagonale in Zoll): Breite: 144cm / Höhe:  81cm

70"  (Diagonale in Zoll): Breite: 155cm / Höhe:  87cm

75"  (Diagonale in Zoll): Breite: 166cm / Höhe:  93cm

82"  (Diagonale in Zoll): Breite: 181cm / Höhe: 102cm

85"  (Diagonale in Zoll): Breite: 188cm / Höhe: 106cm

95"  (Diagonale in Zoll): Breite: 210cm / Höhe: 118cm

100" (Diagonale in Zoll): Breite: 221cm / Höhe: 125cm

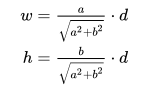
Umrechnung Diagonale zu Höhe und Breite

Berechnen lassen sich aus der Bilddiagonale die Breite und Höhe eines Bildschirms mit dem "Satz des Pythagoras".

Displays / Bildschirme / Screens mieten

Bildschirme, passende Ständer und weiteres Zubehör können Sie hier online mieten.

Online-Mietkatalog.